Analysis
WebNotes
home
Home
local_library
Chapters
directions
Directions
school
Homework
people
Community
arrow_back
Exercises 14
Solutions
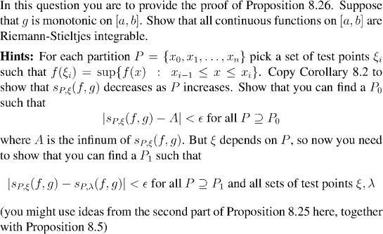
Question: 1
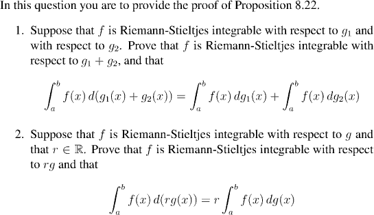
Question: 2
Question: 3
Question: 4